¿Cuáles son las revistas y autores de impacto en administración pública (1991-2021)?

Written by:

Desde antes de la pandemia del COVID-19, ante el auge de los estudios bibliométricos, hice un ejercicio piloto sobre las palabras claves: Administración Pública y Gestión Pública (Public Administration -Public Management) con la colaboración técnica del bibliotecólogo STIVEN ESPINAL CAÑAVERAL Y por cuestiones del trabajo, el estudio se encontraba reposando en el interior de la biblioteca digital personal, hasta hoy , con la intención de publicar los resultados, que bien sirven para medir para calibrar la producción académica y tener sobre las áreas mencionadas impactos de las publicaciones.

Cinco años después de su elaboración declaro que «mucha agua ha pasado debajo del puente», pero no me deja ninguna advertencia sobre la oportunidad; porque si bien la tecnología de la información (TI), se ha desarrollado vertiginosamente, al igual que la Ciencia de la administración y sus disciplinas auxiliares, no menos cierto es que por las lecturas de tesis y trabajos de grados, este tipo de estudios bibliométricos se han incrementados y su uso como ejercicios para conocer el «estado del arte» pueden ser bastantes aceptables; pero no como investigaciones terminadas de proyectos institucionales, ni como tesis doctorales, sobre las cuales reclaman puntaje en los escalafones docentes; siendo este uno de los puntos importantes a debatir en la perversidad de la investigación universitaria. Pero eso ya seria en otro momento y espacio. Ahora entremos en la materia anunciada: El estudio en total se presenta en tres partes, la primera es esta de las revistas de impacto; la parte dos, se refiere a los autores y la tercera presentara las redes de citas entre autores. Todas estarán en este blog.

Primera parte: revistas de impacto en administración publica:

Índice: 1.Herramientas bibliométricas / 2. Estrategia de búsqueda/ 3. Resultados: 3.1 Productividad por quinquenios; 3.2. Revistas más productivas versus de mayor impacto en administración pública; 3.3. Autores más productivos en administración pública; 3.4 Articulos más citados; 3.5 Producción academica por institución /organización. 3.6. paises con mayor producción y mayor impacto.; 3.7. Distribución porcentual por tipo de documento.

El papel de la ciencia y de la tecnología adquiere cada vez más importancia en la sociedad de hoy, gracias a su incidencia en el desarrollo económico, político y cultural. Las expectativas de bienestar social están puestas en los autores, instituciones y países que con sus investigaciones contribuyen, por un lado a la solución de los problemas que aquejan a la sociedad y por el otro, a la expansión de las fronteras del conocimiento desde sus diferentes potencialidades.

Esta situación ha dado lugar al surgimiento de la bibliometría (como disciplina de la cienciometría), encargada de estudiar y analizar la producción científica de diferentes variables mediante la aplicación de métodos matemáticos y estadísticos a la literatura científica producida por diversos autores, países, revistas e instituciones (vistos como variables o unidades de análisis). Entre los temas de investigación asociados a dicha disciplina se encuentra la evaluación de la actividad científica centrada no solo en el análisis de la  producción y el  impacto, sino también en las relaciones de colaboración que se dan entre dichas variables.

Teniendo en cuenta el propósito de la bibliométrica, el objetivo del presente trabajo consiste en analizar la producción, impacto  y relación entre distintas  variables asociadas a la gestión y/o administración pública, con el fin de obtener una mirada general del desarrollo y evolución del tema en los últimos años.

Se utilizan dos indicadores de actividad,  basados en el análisis de la producción y análisis del impacto, empleados precisamente para medir el rendimiento y la influencia de la actividad científica de las variables objeto de estudio. Luego se realiza un análisis mediante la técnica de mapeo de campos científicos, mediante el cual se estudia la relación entre algunas variables de acuerdo a tres indicadores básicos: Impacto de las citas, co-ocurrencia de palabras (palabras comunes), y citas comunes (o co-citas). La aplicación de esta técnica y de los indicadores relacionales permite retroalimentar los resultados de la primera sección, arrojando mayor información sobre los vínculos establecidos entre diferentes artículos, autores y áreas temáticas de la Administración y la gestión pública.

1.            Herramientas bibliométricas

Las herramientas bibliométricas consisten en una serie de herramientas informáticas que permiten organizar y analizar grandes cantidades de información, a través de métodos matemáticos y estadísticos. Los atributos de dicha información pueden variar en función de los aspectos que se deseen analizar.

En la actualidad existen diversas herramientas que cumplen con este fin. Sin embargo, para el presente trabajo se utilizó el índice de citas y resúmenes Web of Science (WOS) y la plataforma de análisis del impacto de revistas Journal Citation Report.

En un segundo momento, se utilizó una herramienta de mapeo de la ciencia, denominada VosViwer, por medio de la cual se generaron distintos mapas de citación, de co-ocurrencia (palabras comunes) y de co-citación (citas comunes) que representan los artículos, temas y autores más relevantes en el desarrollo teórico de la Administración Pública; cuyos resultados se presentan en otra publicación.

         Indicadores bibliométricos

Al momento de realizar el análisis con estas herramientas, se tuvieron en cuenta tres indicadores bibliométricos:

•             Producción académica (# de artículos)  por autor, revista, institución o país

•             Impacto de la producción (número de citas) un artículo, autor, revista o país

•             Relaciones entre variables: palabras clave comunes (co-ocurrencia) y co-citas (citas comunes) de los diferentes artículos analizados

El primero es utilizado fundamentalmente para describir el estado en el que se encuentra la producción científica en un campo de acuerdo con unas variables prestablecidas. El segundo se emplea con el fin de valorar la influencia que tienen dichas variables en el desarrollo de otras, y el tercero, se basa en el análisis del comportamiento de las variables, basado en el conteo de matrices de datos y la representación de co-ocurrencias, para establecer y medir las relaciones entre cada una de ellas (Peralta, Frías, & Gregorio, 2015).

 2.            Estrategia de búsqueda

Se realizó la búsqueda en la colección principal de la base de datos Web of Science (WOS) utilizando las palabras clave Public Administration y Public Management  entre los años 1985 y 2019. Posteriormente, se refinaron los resultados seleccionando las categorías  Public administration y Management, y los tipos de documentos: artículos, actas de conferencia, revisiones y capítulos de libros.

Dicha operación arrojó un total de 2.332 resultados (fecha de consulta 26/02/2019), a los cuales se les aplicó los distintitos indicadores bibliométricos facilitados por las herramientas previamente mencionadas.

3.            Resultados

3.1.         Productividad por quinquenios

A juzgar por el número cada vez mayor de artículos publicados sobre el tema, se observa un creciente interés por el desarrollo de nuevas perspectivas frente a los paradigmas de la gestión y/o administración pública como conceptos en permanente evolución. 

Figura 1. Productividad por periodos durante los años 1991 a 2021 en Web of Science

La figura 1 muestra la evolución de los trabajos por quinquenios, en donde en primer lugar se observa un aumento vertiginoso de la producción científica entre el quinquenio 2002-2006 de 214 a 660 artículos en el quinquenio 2007-2011 para un incremento de 19%. En segundo lugar, el comportamiento en lo que va corrido del quinquenio 2017-2021, deja entrever una producción de 471 artículos (43 más que la mitad del periodo 2012-2016, correspondientes a 428 artículos), lo cual indica que a finales de dicho quinquenio la producción sobre este tema sería mucho mayor a la de 2012-2016.

3.2. Revistas más productivas vs las de mayor impacto en Administración Pública

Dentro de las 30 revistas más productivas se analizaron las primeras cinco publicaciones, en donde se destaca la revista Public Administration Review (ver tabla 1), como la que más artículos tiene publicados en WOS con un total de 178, equivalente al 13,24% de las 30 revistas seleccionadas. En el segundo lugar, se encuentra International Review of Administrative Sciences con 104 artículos (7,74%), le sigue American Review of Public Administration con 91 artículos (6,77%), Administration Society con 81 artículos (6,03) y por último Public Administration con 80 artículos (5,95%).

Al comparar las revistas más productivas sobre Administración Pública con las más influyentes (más citadas), se observa que la Public Administration Review ocupa el primer lugar en este último indicador con 7.651 citas y un factor de impacto de 4,591, lo cual confirma no solo su cualidad de ser la más productiva sino también la más influyente dentro de su área temática. También se advierte que en las primeras cinco revistas más influyentes no se encuentran ninguna de las cuatro publicaciones más productivas que le sigue a esta última, lo cual refuerza la tesis de que las revistas más productivas no siempre son las más citadas.

En línea con lo anterior, llama la atención que los tres primeros artículos más citados de la tabla 2 fueron publicados en la revista Public Administration Review, sumado al hecho de que 12 de los 30 artículos más citados se publicaron en dicha revista, confirmando el prestigio y la influencia de esta publicación entre diferentes autores a nivel mundial, ocupando el primer lugar en productividad e impacto en las plataforma WOS y JCR.

Tabla 1. Comparativo de revistas científicas con mayor productividad vs mayor impacto.

3.3. Autores más productivos en Administración Pública

Del total de autores que han publicado al menos 1 artículo sobre administración pública en WOS, se seleccionaron los primeros 30 con mayor producción académica (ver tabla 2). Al contrastar esa información con los artículos más influyentes (ver  tabla 3), se observa por un lado, que gran parte de las obras de los autores más productivos no figuran dentro de los artículos más citados (Rosenbloom, Walker, Christensen, entre otros[1]), y por otro lado, que algunos autores como Vigoda, Brewer, Moynihan y O’toole aparecen en ambas listados, lo que sin duda los convierte en referentes no solo en términos de productividad, sino también de influencia en otras obras científicas sobre Administración Pública[2].

Tabla 2. Autores más productivos en Administración Pública

En este punto, merece una especial mención el profesor emérito de la Universidad de Georgia, Laurence O’toole, cuyo artículo del año 1997 que aparece en el listado, figura como el más citado con total de 507 citaciones para un promedio de 22,04 citas por año.

De igual forma, es importante resaltar aquellos autores que poseen más de un artículo en la lista de los más citados. Es así como en primer lugar, aparece Richard C. Box de la Universidad de Nebraska, quien registra dos artículos en dicho listado, el primero del año 1999 con 167 citas y el segundo del 2001 en coautoría con otros autores con 127 citas. Del mismo modo, Wouter Vandenabeele de Katholieke University of Leuven, posee dos artículos, uno publicado en 2007 con 186 citas y otro publicado en 2009 con 133 citaciones.


[1] A modo de aclaración,  se debe tener en cuenta que este análisis comparativo se hace sobre una muestra de 30 artículos, lo cual no quiere decir que dichos autores no posean obras con alto número de citas.

[2] Vale la pena resaltar que esta información solo corresponde a los resultados de búsqueda en la plataforma WOS y que los mismo varía según, el recurso bibliográfico y los criterios de búsqueda utilizados.

3.4. Artículos más citados en administración pública (Public Administration – Public Management)

 Tabla 3. Artículos más citados en Public Administration – Public Management 

3.5. Producción académica por institución/ organización

Figura 2. Instituciones con mayor productividad en Administración Pública

De las primeras 30 instituciones con mayor producción académica en Administración Pública, la institución que reviste el mayor número publicaciones es la “University of Electronic Science and Technology of China” con 36 artículos publicados en la base de datos WOS, seguido muy de cerca por la Universidad de Georgia con 35 y Erasmus con 31 respectivamente. Sin embargo, al comparar el parámetro anterior, con los primeros 30 artículos más citados (ver tabla 3), se observa que las instituciones más influyentes son la Universidad de Siracusa con 3 (10%) artículos y 808 citas, la Universidad de Nebraska con igual número de artículos y 702 citas, y la Universidad Estatal de New York con 2 (7%) artículos y 528 citas, entre otros.

El análisis de la productividad por instituciones (ver figura 2) comparado con el número de citas (ver tabla 3), sugiere la idea de que no necesariamente aquellas instituciones más productivas corresponden con las que mayor impacto tienen. Si bien la “University of Electronic Science and Technology of China” es la más productiva, solo posee un artículo dentro de los 30 más citados. A diferencia de la Universidad de Siracusa que ocupa el octavo lugar en productividad con 19 artículos publicados, pero registra 3 papers en la lista de los más influyentes en administración pública.

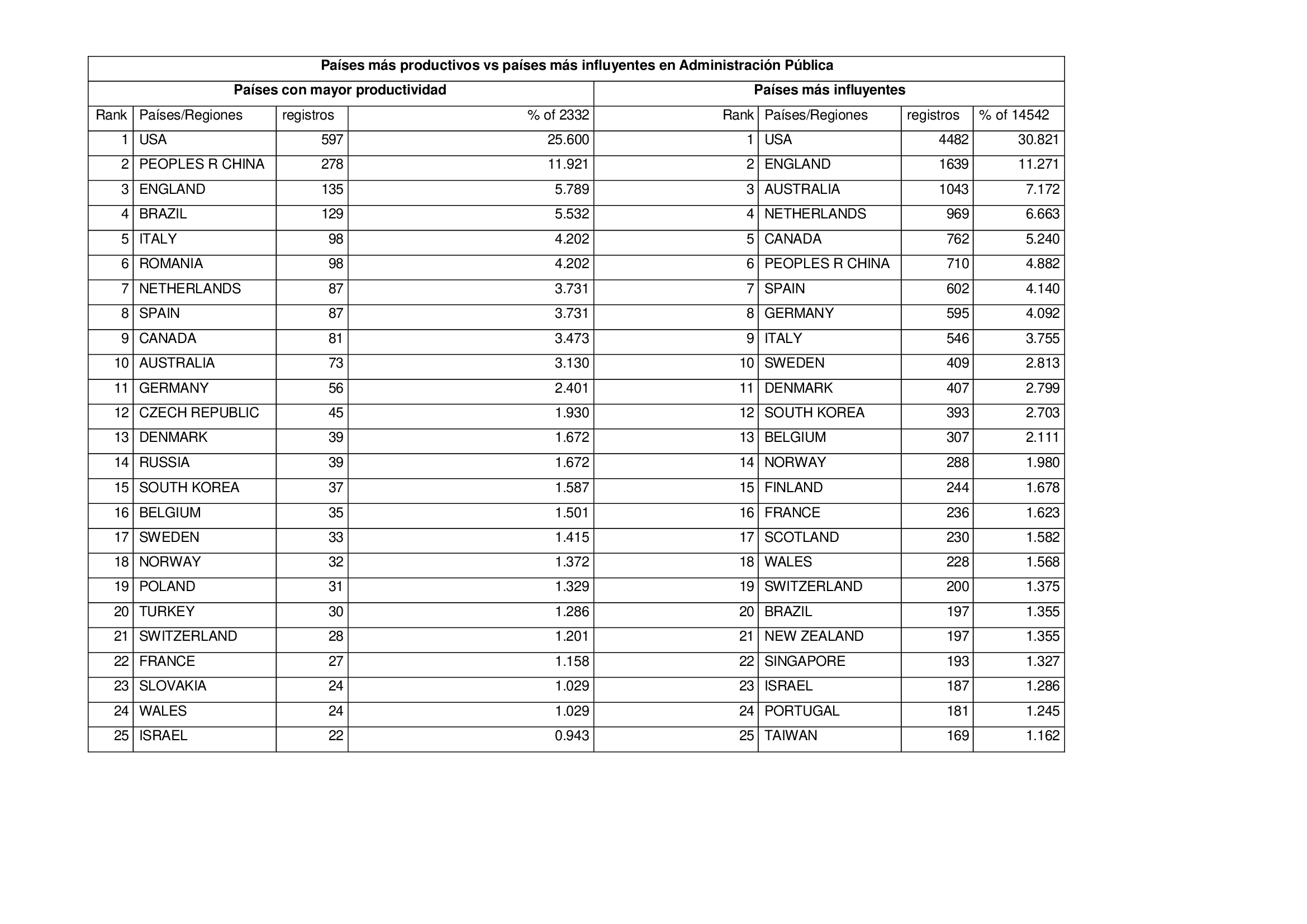
3.6. Países con mayor productividad vs mayor impacto

El análisis de la producción académica por países (ver columna izquierda de la tabla 4) muestra un claro liderazgo de Estados Unidosen en este indicador con 597 artículos publicados en WOS, seguido por China con 278, Inglaterra con 135 y Brazil con 129, entre otros. Al comparar dicho indicador con los países más influyentes (ver columna derecha tabla 4), sobresale Estados Unidos como el país con mayor número de citas recibidas con el 30,8%, seguido por inglaterra con 11,2%, Australia con 7,1, Holanda con 6,6% y Canada con 5,2% entre otros.

3.7. Distribución porcentual por tipo de documento

 

Figura 3. Distribución porcentual por tipo de documento

Con respecto al tipo de fuentes en donde más se publica los avances científicos en Administración Pública (ver figura 3), se destaca los artículos como el principal mecanismo de difusión de los resultados de investigación con un 89%, seguido por un 8% que se hace a través de artículos de revisión (estados del arte) y un 3% por medio de actas de conferencia.

El estudio completo se puede consultar en:https://es.slideshare.net/slideshow/revistas-y-autores-de-impacto-en-administracin-pblica-19912021-informe-bibliomtrico-con-recomendaciones-pdf1pdf/267080795

Una respuesta a «¿Cuáles son las revistas y autores de impacto en administración pública (1991-2021)?»

  1. ¿Cómo son las redes de autores de administración pública?(1991-2021) – GERENCIA PÚBLICA & MARKETING +

    […] principales revistas con la metodología y las técnicas de la Bibliométrica, como se explico en https://gerenciapublicamarketing.blog/2024/04/02/cuales-son-las-revistas-y-autores-de-impacto-en-adm…, con los procesos de construcción de redes de autores que se referencian por medio de una técnica […]

Deja un comentario